Примерная программа вступительных испытаний по физике
Примерная программа вступительных испытаний по физике
1. Структура экзаменационных билетов
Каждый вариант экзаменационной работы состоит из двух частей и включает в себя 12 задание, различающихся формой и уровнем сложности
(таблица 1).
Часть 1 содержит 10 задания с кратким ответом. Из них 5 заданий с записью ответа в виде числа, слова или двух чисел, 5 заданий на установление соответствия и множественный выбор, в которых ответы необходимо записать в виде цифр.
Часть 2 содержит 2 задания для которых необходимо привести развернутый ответ.
Таблица 1. Распределение заданий экзаменационной работы по частям работы
№ |
Часть работы |
Количество заданий |
Максимальный первичный балл |
Процент максимального первичного балла за задания данной части от макси- |
Тип заданий |
1 |
Часть 1 |
10 |
30 |
60 |
С кратким ответом |
2 |
Часть 2 |
2 |
20 |
40 |
С кратким ответом и развернутым ответом |
|
Итого |
31 |
50 |
100 |
|
2. Распределение заданий по содержанию, видам умений и способам действий
При разработке содержания билетов учитывается необходимость проверки усвоения элементов знаний, представленных в разделе 1 кодификатора. В экзаменационной работе контролируются элементы содержания из следующих разделов (тем) курса физики.
- Механика (кинематика, динамика, статика, законы сохранения в механике, механические колебания и волны).
- Молекулярная физика (молекулярно-кинетическая теория, термодинамика).
- Электродинамика и основы СТО (электрическое поле, постоянный ток, магнитное поле, электромагнитная индукция, электромагнитные колебания и волны, оптика, основы СТО).
- Квантовая физика (корпускулярно-волновой дуализм, физика атома, физика атомного ядра).
Общее количество заданий в экзаменационной работе по каждому из разделов приблизительно пропорционально его содержательному наполнению и учебному времени, отводимому на изучение данного раздела в школьном курсе физики.
3. Распределение заданий по уровню сложности
В экзаменационной работе представлены задания разных уровней сложности: базового, повышенного и высокого.
Задания базового уровня включены в часть 1 работы. Это простые задания, проверяющие усвоение наиболее важных физических понятий, моделей, явлений и законов.
Задания повышенного уровня распределены между частями 1 и 2 экзаменационной работы: 5 заданий с кратким ответом в части 1 и 2 задание с развернутым ответом в части 2.
4. Продолжительность экзамена по физике
На выполнение всей экзаменационной работы отводится 120 минут.
Примерное время на выполнение заданий различных частей работы составляет:
1) для каждого задания с кратким ответом – 5–10 минут;
2) для каждого задания с развернутым ответом – 15–30 минут.
Обобщенный план тем заданий по ФИЗИКЕ
Уровни сложности заданий: Б – базовый; П – повышенный; В – высокий.
Обозначение Разделов заданий |
Проверяемые элементы содержания |
Уровень |
Максимальный |
1 |
Равномерное прямолинейное движение, равноускоренное прямолинейное движение, движение по окружности |
Б |
3 |
1 |
Законы Ньютона, закон всемирного тяготения, закон Гука, сила трения |
Б |
3 |
1 |
Закон сохранения импульса, кинетическая и потенциальные энергии, работа и мощность силы, закон сохранения |
Б |
3 |
1 |
Условие равновесия твердого тела, закон Паскаля, сила Архимеда, математический и пружинный маятники, механические волны, звук |
Б |
3 |
1 |
Механика (объяснение явлений; интерпретация результатов опытов, представленных в виде таблицы или графиков) |
П |
10 |
1 |
Механика (изменение физических величин в процессах) |
Б, П |
5-10 |
1 |
Механика (установление соответствия между графиками и физическими величинами, между физическими величинами и формулами) |
П, Б |
5-10 |
1 |
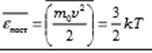
Связь между давлением и средней кинетической энергией, абсолютная температура, связь температуры со средней кинетической энергией, уравнение Менделеева – Клапейрона, изопроцессы |
Б |
3 |
2 |
Работа в термодинамике, первый закон термодинамики, КПД тепловой машины |
Б |
3 |
2 |
Относительная влажность воздуха, количество теплоты |
Б |
3 |
2 |
МКТ, термодинамика (объяснение явлений; интерпретация результатов опытов, представленных в виде таблицы или графиков) |
Б, П |
2 |
2 |
МКТ, термодинамика (изменение физических величин в процессах; установление соответствия между графиками и физическими величинами, между физическими величинами и формулами) |
П, Б |
2 |
3 |
Принцип суперпозиции электрических полей, магнитное поле проводника с током, сила Ампера, сила Лоренца, |
Б |
1 |
3 |
Закон Кулона, конденсатор, сила тока, закон Ома для участка цепи, последовательное и параллельное соединение проводников, работа и мощность тока, закон Джоуля – Ленца |
Б |
1 |
3 |
Поток вектора магнитной индукции, закон электромагнитной индукции Фарадея, индуктивность, энергия магнитного поля катушки с током, колебательный контур, законы отражения и преломления света, ход лучей в линзе |
Б |
1 |
4 |
Планетарная модель атома. Нуклонная модель ядра. Ядерные реакции. |
Б |
1 |
4 |
Фотоны, линейчатые спектры, закон радиоактивного распада |
Б |
1 |
4 |
Механика – квантовая физика (методы научного познания) |
Б |
1 |
№ |
Разделы заданий |
Элементы содержания, проверяемые заданиями |
1 |
МЕХАНИКА |
|
1.1 |
КИНЕМАТИКА |
|
|
1 |
Скорость материальной точки: |
|
1 |
Ускорение материальной точки:
|
|
1 |
Равномерное прямолинейное движение: |
|
1 |
Равноускоренное прямолинейное движение: |
|
1 |
Свободное падение. Ускорение свободного падения. Движение тела, брошенного под углом α к горизонту: ![]()
|
|
1 |
Движение точки по окружности. |
|
|
Центростремительное ускорение точки: aцс = =ω2R |
|
1 |
Твердое тело. Поступательное и вращательное движение твердого тела |
1.2 |
ДИНАМИКА |
|
|
1 |
Инерциальные системы отсчета. Первый закон Ньютона. Принцип относительности Галилея |
|
1 |
Масса тела. Плотность вещества: ρ= |
|
1 |
Сила. Принцип суперпозиции сил: |
|
1 |
Второй закон Ньютона: для материальной точки в ИСО |
|
1 |
|
|
1 |
Закон всемирного тяготения: силы притяжения между |
|
1 |
|
|
1 |
Сила упругости. Закон Гука: Fx =−kx |
|
1 |
Сила трения. Сухое трение. |
|
1 |
Давление: p= |
1.3 |
СТАТИКА |
|
|
1 |
|
|
1 |
Условия равновесия твердого тела в ИСО: |
|
1 |
Закон Паскаля |
|
1 |
Давление в жидкости, покоящейся в ИСО: p = p0 +ρgh |
|
1 |
Закон Архимеда: FАрх =−Pвытесн., |
1.4 |
ЗАКОНЫ СОХРАНЕНИЯ В МЕХАНИКЕ |
|
|
1 |
Импульс материальной точки:p =mv |
|
1 |
Импульс системы тел: p = p1 + p2 +... |
|
1 |
|
|
1 |
|
|
1 |
|
|
1 |
Кинетическая энергия материальной точки: |
|
1 |
Потенциальная энергия: |
|
1 |
Закон изменения и сохранения механической энергии: |
1.5 |
МЕХАНИЧЕСКИЕ КОЛЕБАНИЯ И ВОЛНЫ |
|
|
1 |
Гармонические колебания. Амплитуда и фаза колебаний. Связь амплитуды колебаний исходной величины с амплитудами колебаний её скорости и ускорения: |
|
1 |
Период и частота колебаний: |
|
1 |
Вынужденные колебания. Резонанс. Резонансная кривая |
|
1 |
Поперечные и продольные волны. Скорость |
|
1 |
Звук. Скорость звука |
2 |
МОЛЕКУЛЯРНАЯ ФИЗИКА. ТЕРМОДИНАМИКА |
|
2.1 |
МОЛЕКУЛЯРНАЯ ФИЗИКА |
|
|
2 |
Модели строения газов, жидкостей и твердых тел |
|
2 |
Тепловое движение атомов и молекул вещества |
|
2 |
Взаимодействие частиц вещества |
|
2 |
Диффузия. Броуновское движение |
|
2 |
Модель идеального газа в МКТ: частицы газа движутся хаотически и не взаимодействуют друг с другом |
|
2 |
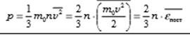
Связь между давлением и средней кинетической энергией поступательного теплового движения молекул идеального газа (основное уравнение МКТ): |
|
2 |
|
|
2 |
Абсолютная температура: T =t°+ 273 K |
|
2 |
Связь температуры газа со средней кинетической энергией поступательного теплового движения его частиц: |
|
2 |
Уравнение p=nkT |
|
2 |
Модель идеального газа в термодинамике: Выражение длявнутренней энергии |
|
2 |
Закон Дальтона для давления смеси разреженных газов: p = p1 + p2 +K |
|
2 |
Изопроцессы в разреженном газе с постоянным числом частиц N (с постоянным количеством вещества ν): изотерма (T = const)^=: pV = const, |
|
2 |
Насыщенные и ненасыщенные пары. Качественная зависимость плотности и давления насыщенного пара от температуры, их независимость от объёма насыщенного пара |
|
2 |
|
|
2 |
Изменение агрегатных состояний вещества: испарение и конденсация, кипение жидкости |
|
2 |
Изменение агрегатных состояний вещества: плавление и кристаллизация |
|
2 |
Преобразование энергии в фазовых переходах |
2.2 |
ТЕРМОДИНАМИКА |
|
|
2 |
Тепловое равновесие и температура |
|
2 |
Внутренняя энергия |
|
2 |
Теплопередача как способ изменения внутренней энергии без совершения работы. Конвекция, теплопроводность, излучение |
|
2 |
Количество теплоты. |
|
2 |
Удельная теплота парообразования r: Q = rm. |
|
2 |
Элементарная работа в термодинамике: A = p△V . |
|
2 |
Первый закон термодинамики: |
|
2 |
Второй закон термодинамики, необратимость |
|
2 |
|
|
2 |
|
|
2 |
Уравнение теплового баланса: Q1 + Q2 + Q3 + ...= 0. |
3 |
ЭЛЕКТРОДИНАМИКА |
|
3.1 |
ЭЛЕКТРИЧЕСКОЕ ПОЛЕ |
|
|
3 |
Электризация тел и её проявления. Электрический заряд. Два вида заряда. Элементарный электрический заряд. Закон сохранения электрического заряда |
|
3 |
|
|
3 |
Электрическое поле. Его действие на электрические заряды |
|
3 |
|
|
3 |
Потенциальность электростатического поля. Разность потенциалов и напряжение. |
|
3 |
Принцип суперпозиции электрических полей: |
|
3 |
Проводники в электростатическом поле. Условие |
|
3 |
Диэлектрики в электростатическом поле. Диэлектрическая проницаемость вещества ε |
|
3 |
Конденсатор. Электроёмкость конденсатора: C = q /U |
|
3 |
Параллельное соединение конденсаторов: |
|
3 |
Энергия заряженного конденсаторa: |
3.2 |
ЗАКОНЫ ПОСТОЯННОГО ТОКА |
|
|
3 |
|
|
3 |
Условия существования электрического тока. Напряжение U и ЭДС ε |
|
3 |
Закон Ома для участка цепи: I = U/R |
|
3 |
Электрическое сопротивление. Зависимость сопротивления однородного проводника от его длины и сечения. Удельное |
|
3 |
Источники тока. ЭДС и внутреннее сопротивление тока. |
|
3 |
|
|
3 |
|
|
3 |
Работа электрического тока: A = IUt |
|
3 |
|
|
3 |
Свободные носители электрических зарядов в проводниках. Механизмы проводимости твёрдых металлов, растворов и расплавов электролитов, газов. Полупроводники. |
3.3 |
МАГНИТНОЕ ПОЛЕ |
|
|
3 |
Механическое взаимодействие магнитов. Магнитное поле. Вектор магнитной индукции. Принцип суперпозиции |
|
3 |
Опыт Эрстеда. Магнитное поле проводника с током. Картина линий поля длинного прямого проводника и замкнутого кольцевого проводника, катушки с током. |
|
3 |
Сила Ампера, её направление и величина: |
|
3 |
|
3.4 |
ЭЛЕКТРОМАГНИТНАЯ ИНДУКЦИЯ |
|
|
3 |
Поток вектора магнитной индукции: Ф=BnS =BS cos α |
|
3 |
Явление электромагнитной индукции. ЭДС индукции |
|
3 |
Закон электромагнитной индукции Фарадея: |
|
3 |
|
|
3 |
Правило Ленца |
|
3 |
Индуктивность: L =Ф/I , или Ф = LI . |
|
3 |
Энергия магнитного поля катушки с током: |
3.5 |
ЭЛЕКТРОМАГНИТНЫЕ КОЛЕБАНИЯ И ВОЛНЫ |
|
|
3 |
|
|
3 |
Закон сохранения энергии в колебательном контуре:
|
|
3 |
Вынужденные электромагнитные колебания. Резонанс |
|
3 |
Переменный ток. Производство, передача и потребление электрической энергии |
|
3 |
Свойства электромагнитных волн. Взаимная ориентация векторов в электромагнитной волне в вакууме: E⊥B⊥c . |
|
3 |
Шкала электромагнитных волн. Применение электромагнитных волн в технике и быту |
3.6. |
ОПТИКА |
|
|
3 |
Прямолинейное распространение света в однородной среде. Луч света |
|
3 |
Законы отражения света. |
|
3 |
Построение изображений в плоском зеркале |
|
3 |
|
|
3 |
|
|
3 |
Собирающие и рассеивающие линзы. Тонкая линза. Фокусное расстояние и оптическая сила тонкой линзы: D=1/F |
|
3 |
|
|
3 |
Ход луча, прошедшего линзу под произвольным углом к её главной оптической оси. Построение изображений точки и отрезка прямой в собирающих и рассеивающих линзах и их системах |
|
3 |
Фотоаппарат как оптический прибор. Глаз как оптическая система |
|
3 |
Интерференция света. Когерентные источники. Условия наблюдения максимумов и минимумов в интерференционной картине от двух синфазных когерентных источников |
|
3 |
Дифракция света. Дифракционная решётка. Условие наблюдения главных максимумов при нормальном падении монохроматического света с длиной волны λ на решётку с периодом |
|
3 |
Дисперсия света |
4 |
КВАНТОВАЯ ФИЗИКА |
|
4.1 |
КОРПУСКУЛЯРНО-ВОЛНОВОЙ ДУАЛИЗМ |
|
|
4 |
Гипотеза М. Планка о квантах. Формула Планка: |
|
4 |
|
|
4 |
Фотоэффект. Опыты А.Г. Столетова. Законы фотоэффекта |
|
4 |
|
|
4 |
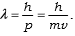
Волновые свойства частиц. Волны де Бройля. |
|
4 |
Давление света. Давление света на полностью отражающую поверхность и на полностью поглощающую поверхность |
5.2 |
ФИЗИКА АТОМА |
|
|
||
|
4 |
Планетарная модель атома |
|
4 |
Постулаты Бора. Излучение и поглощение фотонов при переходе атома с одного уровня энергии на другой: |
|
4 |
Линейчатые спектры. |
|
4 |
Лазер |
5.3 |
ФИЗИКА АТОМНОГО ЯДРА |
|
|
4 |
Нуклонная модель ядра Гейзенберга–Иваненко. Заряд ядра. Массовое число ядра. Изотопы |
|
4 |
Энергия связи нуклонов в ядре. Ядерные силы |
|
4 |
Дефект массы ядра AZX: △m = Z ⋅mp +(A− Z)⋅mn − mядра |
|
4 |
Радиоактивность. |
|
4 |
|
|
4 |
Ядерные реакции. Деление и синтез ядер |
Требования к уровню подготовки выпускников, освоение которых проверяется на экзамене |
|
1 |
Знать/Понимать: |
1.1 |
смысл физических понятий |
1.2 |
смысл физических величин |
1.3 |
смысл физических законов, принципов, постулатов |
2 |
Уметь: |
2.1 |
описывать и объяснять: |
|
физические явления, физические явления и свойства тел |
|
результаты экспериментов |
2.2 |
описывать фундаментальные опыты, оказавшие существенное влияние на развитие физики |
2.3 |
приводить примеры практического применения физических знаний, законов физики |
2.4 |
определять характер физического процесса по графику, таблице, формуле; продукты ядерных реакций на основе законов сохранения электрического заряда и массового числа |
Вариант 1
1. Импульс фотона имеет наибольшее значение в диапазоне частот
1) инфракрасного излучения 2) видимого излучения
3) ультрафиолетового излучения 4) рентгеновского излучения
Ответ:
2. По проводнику течёт постоянный электрический ток. Величина заряда, прошедшего через проводник, возрастает с течением времени согласно графику. Сила тока в проводнике равна
Ответ: __________А
3. Легковой автомобиль и грузовик движутся со скоростями υ1=108 км/ч и υ2=54 км/ч. Масса легкового автомобиля m1=1000 кг. Какова масса грузовика, если отношение импульса грузовика к импульсу легкового автомобиля равно 1,5?
Ответ: __________кг
4. Какую мощность развивает двигатель подъемного механизма крана, если он равномерно поднимает плиту массой 600 кг на высоту 4 м за 3 с?
Ответ: __________Вт
5. В процессе эксперимента внутренняя энергия газа уменьшилась на 40 кДж, и он совершил работу 35 кДж. Следовательно, в результате теплообмена газ отдал окружающей среде количество теплоты
Ответ: __________кДж
6. Одно маленькое заряженное тело действует на другое с силой F. С какой силой первое тело будет действовать на второе, если заряд одного из них уменьшить в 3 раза, а заряд второго увеличить в 3 раза?
1)
2) 9F3)
4) F
Ответ:
7. Импульс электрона больше импульса α-частицы. Сравните длины волн де Бройля этих частиц.
1) у α-частицы λα больше 2) у электрона λе больше
3) λα и λе равны 4) для ответа не хватает данных
Ответ:
8. Сила тока, протекающего по катушке, равномерно изменяется на ΔI = 5А за 0,25с. При этом возбуждается Э.Д.С. самоиндукции 200 В. Определите индуктивность катушки.
1) 10 Гн 2) 20 Гн 3) 30 Гн 4) 40 Гн
Ответ:
9. В катушке с индуктивностью 6 ·10– 3 Гн при равномерном увеличении силы тока на ΔI = 40А возникает Э.Д.С. самоиндукции 8 В. Сколько времени Δt длилось увеличение тока?
Ответ: __________с
10. По двум тонким прямым проводникам, параллельным друг другу, текут одинаковые токи I (см. рисунок), направление которых указано стрелками. Как направлен вектор индукции создаваемого ими магнитного поля в точке D?
1) вверх ↑ 2) к нам 8 3) от нас
4) вниз ↓
Ответ:
11. Какова должна быть ёмкость конденсатора, чтобы с катушкой, индуктивность которой 25 мкГн, он был настроен в резонанс на длину волны 100 м?
Вариант 1
1. Импульс фотона определяется по формуле
, где
-постоянная Планка,
- частота излучения, с-скорость света. Т.к. наибольшая частота у рентгеновского излучения, то правильный ответ 4.
Ответ: 4
2. Сила тока по определению равна
. Используя график, получим:
А.
Ответ: 4 А
3. Импульсы автомобиля и грузовика определяются формулами: ![]()
Отношение импульсов равно:
. Используя условие задачи, получим:
Отсюда получим для массы грузовика
кг.
Ответ: 3000 кг.
4. Мощность по определению равна отношению работы, совершаемой силой, на время совершения работы:
Здесь
- работа подъемной силы крана при равномерном подъеме груза. Подставив численные значения, получим
Вт.
Ответ: 8000 Вт.
5. По первому закону термодинамики, количество теплоты, отданное газом, равно
По условию задачи
кДж,
кДж. Отсюда получим
кДж, отдал 5 кДж теплоты.
Ответ: 5 кДж.
6. Сила взаимодействия двух точечных зарядов определяется по закону Кулона
, откуда видно, что при уменьшении первого заряда в 3 раза, и увеличении второго заряда в 3 раза сила не изменится, т.е. ![]()
Ответ: 4
7. Длина волны де Бройля определяется по формуле
, где
-постоянная Планка,
- импульс частицы. Т.к. по условию задачи импульс электрона больше импульса
-частицы, длина волны де Бройля у
-частицы больше.
Ответ: 1
8. Модуль ЭДС самоиндукции определяется по формуле
, отсюда индуктивность катушки равна
Гн.
Ответ: 1
9. На заряженную частицу, движущуюся в магнитном поле, действует сила Лоренца
, где по условию задачи угол
Отсюда сила Лоренца равна
Н = 0,032 пН.
Ответ: 0,032 пН.
9. На заряженную частицу, движущуюся в магнитном поле, действует сила Лоренца
, где по условию задачи угол
Отсюда сила Лоренца равна
Н = 0,032 пН.
Ответ: 0,032 пН.
10. По принципу суперпозиции магнитных полей, результирующий вектор индукции магнитных полей первого (левого проводника) и второго (правого проводника) с токами равен векторной сумме магнитных индукций указанных полей. По правилу правого винта («буравчика»), магнитная индукция первого тока в точке Д направлена «к нам», второго тока тоже «к нам». Следовательно, результирующий вектор магнитной индукции полей направлен тоже «к нам».
Ответ: 2
11. Дано: Решение:
Гн 1)
- формула Томсона для периода
м/с гармонических электромагнитных колебаний
м 2)
- формула длины волны, на которую настроен в
режиме резонанса колебательный контур, состоящий
из конденсатора и катушки индуктивности,
где
- скорость света.
3) Проведя математические преобразования, получим:
;
пФ.
Ответ: 113 пФ.
Вариант 2
1. Однородное тело плавает, частично погрузившись в воду, если его плотность
1) равна плотности воды
2) больше плотности воды
3) меньше плотности воды
4) равна или меньше плотности воды
Ответ:
2. Луч света падает на плоское зеркало. Угол падения равен 20º. Чему равен угол между падающим и отраженным лучами?
Ответ: __________º
3. Параллельный пучок монохроматического света попадает на препятствие с узкой щелью. На экране за препятствием, кроме центральной светлой полосы, наблюдается чередование светлых и темных полос. Данное явление связано с
1) поляризацией света2) дифракцией света
3) дисперсией света 4) преломлением света
Ответ:
4. Как нужно изменить длину световой волны, чтобы энергия фотона в световом пучке увеличилась в 4 раза?
1) увеличить в 4 раза2) увеличить в 2 раза
3) уменьшить в 2 раза 4) уменьшить в 4 раза
Ответ:
5. Каким было время протекания тока силой 5 А по проводнику, если напряжение на его концах составило 120 В, и за это время в проводнике выделилось количество теплоты, равное 540 кДж?
Ответ: __________с
6. Газ получил количество теплоты, равнее 300 Дж. При этом его внутренняя энергия увеличилась на 100 Дж. В этом процессе
Ответ: __________Дж
7. Активность радиоактивного элемента уменьшилась в 4 раза за 8 дней. Чему равен период полураспада этого элемента?
Ответ: __________
8. Какова индукция магнитного поля, в котором на проводник длиной 15 см действует сила 0,045 Н? Сила тока в проводнике 25 А. Проводник расположен перпендикулярно линиям индукции магнитного поля.
Ответ: __________мТл
9. Какая сила действует на протон, движущийся со скоростью 106 м/с в магнитном поле индукцией 0,2 Тл перпендикулярно линиям индукции? Заряд протона 1,6 · 10– 19 Кл.
Ответ: __________Н
10. На рисунке изображены три пары одинаковых легких шариков, заряды которых равны по модулю. Шарики подвешены на шелковых нитях. Знак заряда одного из шариков каждой пары указан на рисунке. В каком (-их) случае (-ях) заряд другого шарика положителен?
1) только А2) Б и В3) только Б 4) А и В
Ответ:
11. Трансформатор с коэффициентом трансформации, равным 0,1, включен в сеть напряжением 220В. Каковом напряжение на выходе трансформатора, если сопротивление вторичной обмотки 0,2 Ом, а сопротивление полезной нагрузки 2Ом?
Вариант 2
1. Сила Архимеда, действующая на тело, погруженное частично в воду, определяется формулой
. Т.к. тело плавает, то сила Архимеда равна силе тяжести
, где
- полный объем тела, а
- часть объема тела, находящаяся в воде. Т.к.
, то
- тело плавает, частично погрузившись в воду, если его плотность меньше плотности воды.
Ответ: 3
2. По закону отражения света, угол падения света равен углу отражения света. Следовательно, угол между падающим о отраженным лучами равен ![]()
Ответ: 40
3. Дифракция света- это явление огибания световыми волнами препятствия , в результате которого вторичные волны, идущие от препятствия, накладываются, в одних точках пространства они усиливают друг друга (светлые полосы), в других ослабляют (темные полосы). Препятствием в задании является узкая щель. Следовательно, это явление дифракции света.
Ответ: 2
4. Энергия фотона определяется по формуле Планка
, где
- частота света. Частота света и длина волны связаны соотношением
, где с – скорость света,
- длина волны света. Отсюда,
. Следовательно, чтобы энергия фотона увеличилась в 4 раза, надо длину волны уменьшить в 4 раза.
Ответ: 4
5. Количество теплоты, выделяемое в проводнике, определяется законом Джоуля-Ленца
Отсюда время протекания тока равно
с.
Ответ: 900 с.
6. По первому закону термодинамики, количество теплоты, полученное газом, равно
По условию задачи
Дж,
Дж. В этом процессе газ совершил работу
Дж
Ответ: 200 Дж.
7. По закону радиоактивного распада, активность радиоактивного элемента в зависимости от времени описывается формулой
, где
дней – время распада,
- период полураспада элемента. Т.к. по условию задачи
, то после элементарных математических преобразований получим, что
, следовательно
дня.
Ответ: 4
8. На проводник с током в магнитном поле действует сила Ампера
, где по условию задачи угол
Отсюда получим индукцию магнитного поля
Тл=12 мТл.
Ответ: 12 мТл
9. Модуль ЭДС самоиндукции определяется по формуле
, отсюда время увеличения силы тока равно
с.
Ответ: 0,03 с
10. Т.к. притягиваются только положительные и отрицательные заряды, то из рисунка видно, что заряд другого шарика может быть положителен только для случая Б.
Ответ: 3
11. Дано:
Гн
В
Ом
Ом
Решение:
Напряжение на вторичной обмотке равно напряжению на полезной нагрузке
.
Коэффициент трансформации равен
, где
- ЭДС индукции, возникающая во вторичной обмотке из-за явления электромагнитной индукции. ЭДС индукции равна сумме напряжений, падающих на сопротивлении обмотки и на нагрузке:
, где указанные напряжения пропорциональны соответствующим сопротивлениям (по закону Ома), т.е.
. Отсюда
. Проведя математические преобразования, получим:
В.
Ответ: 20 В.
Вариант 3
1. За одно и то же время один математический маятник совершает одно колебание, а другой – три. Нить первого маятника
1) в 9 раз длиннее 2) в 3 раза длиннее 3) в
раза длиннее 4) в
раза короче
Ответ:
2. Чтобы рассчитать в равновесном состоянии плотность ρ разреженного газа с известной молярной массой μ, достаточно знать значение универсальной газовой постоянной и измерить
1) давление газа р и его объем V 2) массу газа m и его температуру T
3) температуру газа Т и его объем V 4) давление газа р и его температуру Т
Ответ:
3. Мальчик столкнул санки с вершины горки. Сразу после толчка санки имели скорость 5 м/с, а у подножия горки она равнялась 15 м/с. Трение санок о снег пренебрежимо мало. Какова высота горки?
Ответ: __________м
4. Мужской голос баритон занимает частотный интервал от v1=100 Гц до v2=400 Гц. Отношение длин звуковых волн
, соответствующих границам этого интервала, равно
Ответ: __________
5. Вода может испаряться
1) только при кипении
2) только при нагревании
3) при любой температуре, если пар в воздухе над поверхностью воды является ненасыщенным
4) при любой температуре, если пар в воздухе над поверхностью воды является насыщенным
Ответ:
6. Радиоактивный полоний
Ро, испытав один α-распад и два β-распада, превратился в изотоп
1) свинца
Pb 2) полония
Pо 3) висмута
Bi 4) радона
Rn
Ответ:
7. Мальчик массой 50 кг, стоя на очень гладком льду, бросает груз массой 8 кг под углом 60° к горизонту со скоростью 5 м/с. Какую скорость приобретет мальчик?
Ответ: __________м/с
8. Генератор радиостанции работает на частоте 3 · 10 6 Гц. Какова длина электромагнитной волны, излучаемой радиостанцией? с = 3 · 108 м/с.
Ответ: __________м
9. Длина электромагнитной волны, передаваемой радиостанцией, равна 1200 м. На какой частоте работает радиостанция? с = 3 · 108 м/с.
Ответ: __________кГц
10. Шары движутся со скоростями, показанными на рисунке, и сталкиваются. Как будет направлен суммарный импульс шаров после столкновения, если удар абсолютно упругий?
1) g 2)m 3)k 4) h
Ответ:
11. Электрон движется в однородном магнитном поле в вакууме перпендикулярно линиям индукции по окружности радиусом 0,1 м. индукция магнитного поля 2·10-4Тл. Определить скорость движения электрона.
Вариант 3
1. Период колебаний математического маятника определяется по формуле
, где
- длина маятника. Т.к. по условию задачи период колебаний первого в три раза больше (он совершает одно колебание, а второй три колебания за одно время), то из формулы периода следует, что нить первого в
раза длиннее.
Ответ: 3
2. Уравнение Менделеева-Клапейрона связывает между собой давление, объем, температуру и массу газа:
, где масса газа равна
. Подставив в уравнение Менделеева-Клапейрона, получим выражение
, из которого видно, что для расчета плотности газа достаточно измерить давление газа
и его температуру
.
Ответ: 4
3. По закону сохранения механической энергии сумма кинетической и потенциальной энергий на вершине горки равна сумме кинетической и потенциальной энергий у подножия горки:
. Проведя математические преобразования, получим для высоты горки значение:
м.
Ответ: 10 м.
4. Длина волны, частота и скорость волны (звука) связаны соотношением:
. Отсюда получим отношение
.
Ответ: 4
5. Вода может испарятся при любой температуре, если пар в воздухе над поверхностью воды является ненасыщенным.
Ответ: 3
6. Запишем схему радиоактивного превращения ядра:
.
Зарядовое число неизвестного элемента найдем по закону сохранения зарядового числа ядра:
. Массовое число элемента найдем по закону сохранения массового числа (числа нуклонов в ядрах): 218=4+А, следовательно А=214. Т.е. появился новый изотоп полония
.
Ответ: 2
7. По закону сохранения импульса в проекциях на горизонтальную ось можем записать:
, где
- скорость мальчика. Отсюда получим
м/с.
Ответ: 0,4 м/с.
8. Длину волны электромагнитного излучения найдем из формулы
. Получим
м.
Ответ: 100 м.
9. Частоту излучения найдем из формулы
, отсюда
кГц.
Отсюда: 250 кГц.
10. По закону сохранения импульса, векторная сумма импульсов тел (суммарный импульс) определяется по правилу параллелограмма. Отсюда делаем вывод, что суммарный импульс направлен вправо и вверх.
Ответ: 3
11. Дано:
Кл
кг
м
Тл
Решение:
1) По второму закону Ньютона
.
2)
- центростремительное ускорение электрона
3)
- сила Лоренца, действующая на электрон в магнитном поле
Проведя математические преобразования, получим для скорости:
м/с.
Ответ:
м/с.
Вариант 4
1. Автомобиль массой 1000 кг движется по выпуклому мосту, радиус кривизны которого равен 40 м. Какую скорость должен иметь автомобиль в верхней точке моста, чтобы пассажиры в этой точке почувствовали состояние невесомости?
Ответ: __________м/с
2. В баллоне объемом 1,66 м3 находится 2 кг молекулярного кислорода при давлении 105 Па. Какова температура кислорода?
Ответ: __________К
3. Как изменится период собственных электромагнитных колебаний в контуре (см. рисунок), если ключ К перевести из положения 1 в положение 2?
1) уменьшится в 9 раз 2) увеличится в 3 раза
3) уменьшится в 3 раза 4) увеличится в 9 раз
Ответ:
4. Математический маятник совершает свободные гармонические колебания. Какую величину можно определить, если известны длина l и период колебаний Т маятника?
1) амплитуду А колебаний маятника 2) ускорение свободного падения g
3) максимальную кинетическую энергию Wк маятника 4) массу m груза маятника
Ответ:
5. В инерциальной системе отсчета сила F сообщает телу массой m ускорение a. Ускорение тела массой 2m под действием силы 2F в этой системе отсчета равно
1) а 2) 2а 3)
4) 4а
Ответ:
6. Электронная оболочка в атоме алюминия
Al содержит
1) 27 электронов 2) 40 электронов
3) 13 электронов 4) 14 электронов
Ответ:
7. Тело свободно падает с некоторой высоты с начальной скоростью, равной нулю. Время, за которое тело пройдет путь L, прямо пропорционально
1) L2 2)
3)
4) L
Ответ:
8. Резисторы сопротивлением 30 кОм и 15 кОм подключены последовательно к источнику постоянного напряжения 100 В. Какова сила тока, протекающего через резисторы? Внутренним сопротивлением источника пренебрегаем.
Ответ: __________мА
9. В океанах длина волны достигает 270 м, а период 13,5 с. Определить скорость распространения такой волны
.
Ответ: __________м/с
10. С использованием нагревателя известной мощности исследовалась зависимость температуры 1 кг вещества от количества теплоты, полученного от нагревателя. Результаты измерений указаны на рисунке точками. Чему примерно равна удельная теплоёмкость данного вещества?
Ответ: __________ кДж/(кг·К)
11. При равномерном изменении магнитного потока, пронизывающего контур, на 0,6 Вб э.д.с. индукции в контуре была равна 1,2 В. Найти время изменения магнитного потока. Найти силу тока в контуре, если его сопротивление 0,24 Ом.
Вариант 4
1. В верхней точке траектории моста пассажиры будут испытывать состояние невесомости, если в этой точке на них действует только сила тяжести, т.е. сила реакции опоры равна нулю Это возможно, если ускорение свободного падения будет равно центростремительному ускорению:
. Отсюда для скорости автомобиля получим:
м/с.
Ответ: 20 м/с.
2. Уравнение Менделеева-Клапейрона связывает между собой давление, объем, температуру и массу газа:
. Отсюда получим температуру кислорода:
К.
Ответ: 308 К.
3.
- формула Томсона для периода гармонических электромагнитных колебаний. Следовательно, если при переключении ключа индуктивность увеличивается в 9 раз, то период увеличивается в 3 раза.
Ответ: 2
4. Период колебаний математического маятника определяется по формуле
, отсюда делаем вывод, что если известны длина маятника и период колебаний, то можно определить ускорение свободного падения.
Ответ: 2
5. По второму закону Ньютона сила равна
. Если сила и масса тела увеличиваются в 2 раза (по условию задачи), то ускорение не изменяется.
Ответ: 1
6. Количество электронов в атоме равно количеству протонов в ядре. По условию задачи количество протонов равно 13, следовательно количество электронов 13.
Ответ: 3
7. Путь, пройденный телом при свободном падении без начальной скорости, определяется по формуле
. Отсюда для времени падения получим формулу
.
Ответ: 3
8. Сила тока на участке цепи определяется законом Ома
, где сопротивление резисторов при последовательном соединении определяется выражением
. Подставив в закон Ома, получим
мА.
Ответ: 2,2 мА.
9. Скорость волны равна
м/с.
10. Количество теплоты, полученное телом при нагревании, определяется формулой
. Воспользовавшись данными из графика, получим для удельной теплоемкости вещества:
кДж/кгК.
Ответ: 4,5 кДж/кгК.
11. Дано:
Вб
В
Ом
Решение:
По закону электромагнитной индукции ЭДС индукции равна модулю скорости изменения магнитного потока, пронизывающего контур:
, отсюда получим время изменения магнитного потока
с. Силу тока найдем по закону Ома для замкнутой цепи:
А.
Ответ: 0,5 с; 5 А.
Вариант 5
1. Давление насыщенного водяного пара при температуре 40°С приблизительно равно 6·103 Па. Чему равно парциальное давление водяного пара в комнате при этой температуре, если относительная влажность равна 30 %?
Ответ: __________Па
2. Внутренняя энергия идеального газа в герметично закрытом сосуде уменьшается при
1) адиабатном сжатии 2) изохорном охлаждении
3) изобарном расширении 4) изотермическом сжатии
Ответ:
3. Силы взаимодействия между двумя точечными заряженными телами равны по модулю F. Как изменится модуль сил взаимодействия между этими телами, если заряд каждого тела уменьшить в 2 раза?
1) уменьшится в 2 раза 2) увеличится в 2 раза
3) увеличится в 4 раза 4) уменьшится в 4 раза
Ответ:
4. В некоторый момент времени скорость
электрона е−, движущегося в магнитном поле, направлена вдоль оси х (см. рисунок). Как направлен вектор магнитной индукции
, если в этот момент сила Лоренца, действующая на электрон, направлена вдоль оси у?
1) из плоскости чертежа от нас
2) в отрицательном направлении оси х
3) в положительном направлении оси х 4) из плоскости чертежа к нам 8
Ответ:
5. Газ отдал количество теплоты 300 Дж, а внешние силы совершили над ним работу 100 Дж. При этом внутренняя энергия газа
Ответ: __________Дж
6. Как изменится период свободных электромагнитных колебаний в контуре, если расстояние между пластинами конденсатора увеличить в 4 раза?
1) уменьшится в 2 раза 2) уменьшится в 4 раза
3) увеличится в 2 раза 4) увеличится в 4 раза
Ответ:
7. Давление водорода, количество вещества которого равно 1 моль, в сосуде при температуре 300 К равно р1. Чему равно давление водорода, количество вещества которого равно 3 моль, в этом же сосуде при температуре, в 2 раза большей?
1)
2)
3)
4) 6р1
Ответ:
8. По проводнику сопротивлением 6 кОм протекает постоянный ток 0,2 А. Какая мощность выделяется в проводнике?
Ответ: __________Вт
9. Два резистора с сопротивлениями 6 кОм и 10 кОм соединены параллельно. Каково общее сопротивление резисторов?
Ответ: __________Ом
10. На рисунке показан профиль бегущей волны в некоторый
момент времени. Разность фаз колебаний точек 1 и 3 равна
Ответ: __________
11. На каком расстоянии от собирающей линзы с фокусным расстоянием 15 см следует поместить предмет, чтобы его действительное изображение было в 2,5 раза больше самого предмета?
Вариант 5
1. Влажность воздуха определяется по формуле
, где
- парциальное давление водяного пара при температуре
,
- давление насыщенного пара при температуре
. Отсюда парциальное давление пара равно
Па.
Ответ: 1800 Па.
2. По первому закону термодинамики, количество теплоты, отдаваемое газом, равно
, где
- изменение внутренней энергии газа,
- работа газа. В герметично закрытом сосуде работа газа равна нулю (изохорный процесс). Поэтому внутренняя энергия газа в герметично закрытом сосуде уменьшается при изохорном охлаждении.
Ответ: 2
3. Сила взаимодействия двух точечных зарядов определяется по закону Кулона
, поэтому если заряд каждого тела уменьшить в 2 раза, то модуль силы взаимодействия между телами уменьшится в 4 раза.
Ответ: 4
4. Направление действия силы Лоренца определяется по правилу левой руки. Применяя это правило к данному рисунку, установим, что сила Лоренца, действующая на электрон, направлена из плоскости чертежа от нас.
Ответ: 1
5. По первому закону термодинамики, количество теплоты, отдаваемое газом, равно
, где
- изменение внутренней энергии газа,
Дж – работа внешних сил,
Дж. Отсюда внутренняя энергия газа
Дж, т.е. внутренняя энергия газа уменьшилась на 200 Дж.
Ответ: 200 Дж.
6.
- формула Томсона для периода гармонических электромагнитных колебаний. Электроемкость конденсатора обратнопропорциональна расстоянию между пластинами конденсатора. Поэтому, если расстояние между пластинами увеличивается в 4 раза, то электроемкость уменьшается в 4 раза, а период колебаний уменьшается в 2 раза.
Ответ: 1
7. Уравнение Менделеева-Клапейрона связывает между собой давление, объем, температуру и массу газа:
- для давления
, температуре 300 К и количеству вещества
моль;
- для давления
, температуре 600 К и количеству вещества
моль. Разделив второе уравнение на первое, получим для давления
.
Ответ: 4
8. Мощность тока определяется выражением
Отсюда
Вт.
Ответ: 240 Вт
9. При параллельном соединении проводников их общее сопротивление определяется выражением
. Отсюда получим
Отсюда
кОм = 3750 Ом.
Ответ: 3750 Ом
10. График профиля бегущей волны представляет собой синусоиду, поэтому разность фаз точек 1 и 3 равна
радиан.
Ответ: 3,14 радиан
11. Дано:
см
Решение:
1) Для решения задачи воспользуемся формулой тонкой линзы
, где
расстояние от изображения до линзы.
2)
- увеличение линзы. Отсюда
.
Проведя преобразования, получим для расстояния от предмета до линзы:
см.
Ответ: 21 см.
Вариант 6
1. Между источником радиоактивного излучения и детектором помещен слой картона толщиной 2 мм. Какое излучение может пройти через него?
1) только α2) α и β3) α и γ 4) β и γ
Ответ:
2. Колебательный контур состоит из катушки индуктивности и конденсатора. В нём наблюдаются гармонические электромагнитные колебания с периодом Т=5 мс. В начальный момент времени заряд конденсатора максимален и равен 4·10-6 Кл. Каков будет заряд конденсатора через t=2,5 мс?
Ответ: __________Кл
3. При равномерном уменьшении магнитного поля в течение 2 · 10 –3 с в витке проводника индуцируется Э.Д.С. 0,05 В. Определите изменение магнитного потока, пронизывающего плоскость витка.
Ответ: __________мВб
4. Чему равно напряжение, приложенное к концам проводника сопротивлением 24 Ом, если за 15 мин работа электрического тока в нем равна 540 кДж?
Ответ: __________В
5. Какой вид теплообмена определяет передачу энергии от Солнца к Земле?
1) только конвекция2) теплопроводность и конвекция
3) только излучение 4) как теплопроводность, так и излучение
Ответ:
6. Импульс фотона имеет наименьшее значение в диапазоне частот
1) рентгеновского излучения 2) видимого излучения
3) ультрафиолетового излучения 4) инфракрасного излучения
Ответ:
7. На рисунке представлен график зависимости скорости υ автомобиля от времени t. Найдите путь, пройденный автомобилем за 50 с.
Ответ: __________м
8. Мяч, неподвижно лежавший на полу вагона движущегося поезда, покатился влево, если смотреть по ходу поезда. Как изменилось движение поезда?
1) скорость поезда увеличилась 2) скорость поезда уменьшилась
3) поезд повернул вправо 4) поезд повернул влево
Ответ:
9. Камень массой 100 г брошен вертикально вверх с начальной скоростью υ = 20 м/с. Модуль силы тяжести, действующей на камень в момент броска, равен
Ответ: __________Н
10. Одно маленькое заряженное тело действует на другое с силой F. С какой силой первое тело будет действовать на второе, если увеличить заряд одного из них в 3 раза, а заряд второго – в 2 раза?
1) 5F2) 6F3)
4) ![]()
Ответ:
11. Тело движется со скоростью 6 м/с и останавливается при торможении через 3 с. Чему равен коэффициент трения?
Вариант 6
1. Картон толщиной 2 мм задерживает только альфа-излучение – поток ядер атома гелия, а бета-излучение (поток электронов) и гамма-излучение (электромагнитное излучение малой длины волны) проникает сквозь картон такой толщины.
Ответ: 4
2. Т.к. заряд конденсатора в начальный момент времени максимален, то его изменение во времени описывается по закону косинуса
Циклическая частота связана с периодом соотношением
. Отсюда получим для заряда в момент времени
:
мкКл.
Ответ: - 4 мкКл
3. Модуль ЭДС индукции определяется по формуле
, отсюда модуль изменения магнитного потока равен
мВб.
Ответ: 0,1 мВб
4. Работа электрического тока определяется по формуле
, откуда напряжение равно
В.
Ответ: 120 В.
5. Передачу энергии от Солнца к Земле определяет только излучение.
Ответ: 3
6. Импульс фотона определяется по формуле
. Инфракрасное излучение имеет наименьшее значение частот, поэтому импульс фотона имеет наименьшее значение для инфракрасного излучения.
Ответ: 4
7. Путь, пройденный автомобилем, равен площади фигуры, ограниченной графиком и осью времени. Фигура – трапеция. Применяя формулу площади трапеции, получим
м.
Ответ: 350 м.
8. Из-за инерции мяч покатился влево, значит поезд повернул вправо.
9. Модуль силы тяжести определяется формулой
и не зависит от скорости движении тела. Следовательно,
Н.
Ответ: 1 Н.
10. Сила взаимодействия двух точечных зарядов определяется по закону Кулона
. Отсюда следует, что при увеличении одного заряда в 3 раза, другого в 2 раза сила взаимодействия увеличится в 6 раз.
Ответ: 2
11. Дано:
м/с
с
Решение:
1) Тело тормозит под действием силы трения, и по 2-му закону Ньютона можем записать:
.
2) Ускорение найдем из формулы мгновенной скорости тела при равнозамедленном движении:
;
.
3) Сила трения равна ![]()
4) Подставив во 2-ой закон Ньютона, получим:
.
Ответ: 0,2






























































































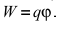
Момент силы относительно оси вращения:



Принципы действия тепловых машин. КПД:
Взаимодействие зарядов. Точечные заряды. Закон Кулона:


Параллельное соединение проводников:





